Blog
Baze De Date Ase
cod postal negresti oas strada victoriei
cost control telekom abonamente
cont de profit si pierdere model excel
concert kings of leon bucuresti
comoara din lacul de argint
conectare iphone la pc
coque samsung galaxy a 20 e
complex turistic perla 2 mai pret
Baze De Date și Sisteme Informatice Baze De Date
Baze De Date și Sisteme Informatice Bd In Acțiune
Baze De Date și Sisteme Informatice Databases
Master Baze De Date Suport Pentru Afaceri Photos Facebook
Baze De Date Prin Exemple Editura Ase
Sisteme De Baze De Date Evoluate Editura Ase
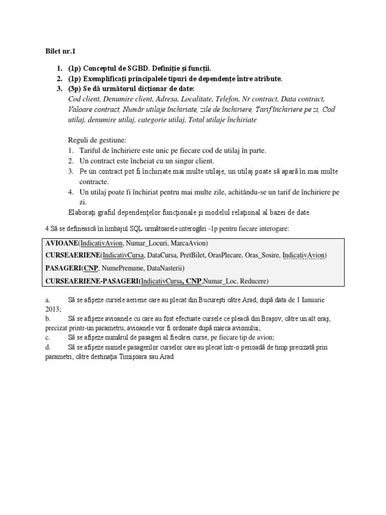
Bilet Examen Baze De Date Ase
Baze De Date și Sisteme Informatice Bd In Acțiune
Bilet Examen Baze De Date Ase
Facultatea De Cibernetica Statistica Si Informatica Economica Informatică Economică
Baze De Date și Sisteme Informatice Bd In Acțiune
Tratat De Baze De Date Vol 2 Editura Ase
Introduction To Databases Baze De Date 8211 Elemente Introductive Editura Ase
Masterat Baze De Date Suport Pentru Afaceri
2
Master Baze De Date Suport Pentru Afaceri Photos Facebook
Download Pdf Lungu Tratat De Baze De Date G0rw63py2eqk
Bd Sem 01 01 Introducere Baze De Date Relationale Youtube
Tsi 2018 2019 Practical Exercises Baze De Date Eec505 Studocu
Past Exams Ase Bucuresti Studocu
Source :
pinterest.com
Random Posts
Samsung Galaxy Note 10 Plus Aura Glow Colour
Samsung Galaxy Note 10 Plus Clear View Case
Samsung Galaxy Note 10 Plus Price In Pakistan
Samsung Galaxy Note 10 Plus Aura Black
Samsung Galaxy Note 10 Plus 256gb White
Samsung Galaxy Note 10 Plus 5g Price In Malaysia
Samsung Galaxy Note 10 Plus Aura Glow Silver
Samsung Galaxy Note 10 Plus Price In Qatar
Samsung Galaxy Note 10 Plus 5g Case With Screen Protector
Samsung Galaxy Note 10 Plus Camera Review
Samsung Galaxy Note 10 Plus Price In Ksa
Samsung Galaxy Note 10 Plus Colors
Samsung Galaxy Note 10 Plus Price In Uae Today
Samsung Galaxy Note 10 Plus 256gb Black
Samsung Galaxy Note 10 Plus Price In Bangladesh 2019
Samsung Galaxy Note 10 Plus Phone Case With Built In Screen Protector
Samsung Galaxy Note 10 Plus Price In Myanmar
Samsung Galaxy Note 10 Plus Price In Oman 2020
Samsung Galaxy Note 10 Plus Original Case
Samsung Galaxy Note 10 Plus Aura Glow Price